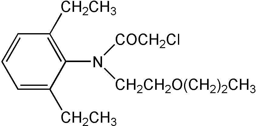
Pretilachlor (N-13089)

Part number: N-13089-250MG

Package Size: 250 mg
Log in to your US account to purchase products.
Sale price

Description

Additional Information

Alternate Names Pretilachlor
Product Format Neat Product
CAS Number 51218-49-6
Molecular Formula C17H26ClNO2
Molecular Weight 311.9



Click to view SDS

You may also like

Recently viewed