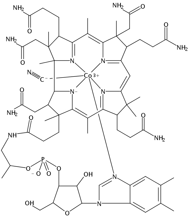
Vitamin B12 (N-V14)

Part number: N-V14-100MG

Package Size: 100 mg
Log in to your US account to purchase products.
Sale price

Description

Additional Information

Product Format Neat Product
Molecular Formula C63-H88-CO-N14-O14-P
Molecular Weight 1355.48



Click to view SDS

You may also like

Recently viewed